на исходную


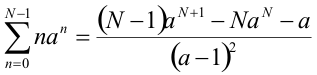
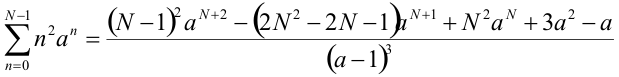
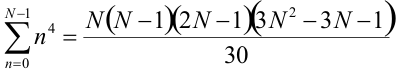
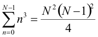
Формулы сведения сумм алгебраических прогрессий


Формула 2,57КБ (1)
Формула 3,28КБ (2)
Формула 2,77КБ (3)
Формула 4,42КБ (4)
Формула 2,15КБ (5)
Формула 3,70КБ (6)
Формула 5,55КБ (7)

Здесь можно скачать формулы этого раздела в красивом и компактном виде.


Хостинг от uCoz